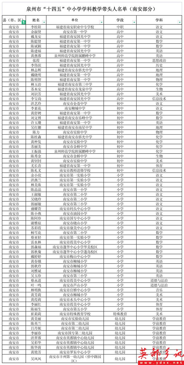
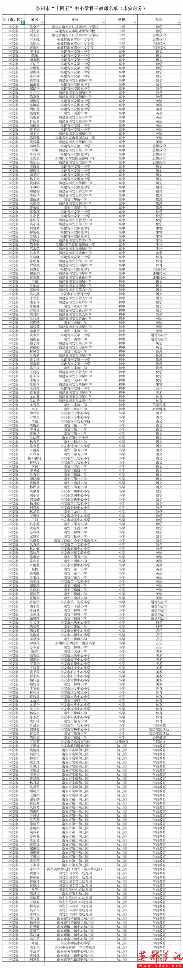
日前,泉州市教育局公布泉州市“十四五”第一批教学名师、学科教学带头人、骨干教师名单。其中,南安39名教师入选泉州市“十四五”第一批中小学教学名师名单,70名教师入选泉州市“十四五”中小学学科教学带头人名单,228名教师入选泉州市“十四五”中小学骨干教师名单。一起来看入选名单!



来源:泉州市教育局、南安教育信息

日前,泉州市教育局公布泉州市“十四五”第一批教学名师、学科教学带头人、骨干教师名单。其中,南安39名教师入选泉州市“十四五”第一批中小学教学名师名单,70名教师入选泉州市“十四五”中小学学科教学带头人名单,228名教师入选泉州市“十四五”中小学骨干教师名单。一起来看入选名单!



来源:泉州市教育局、南安教育信息

相关热词搜索: