各位领导、宗亲、校友、贤达:
南安三中在大家的关心支持下,已走过近80年办学历程。自上世纪80年代起,海外侨胞、社会贤达及历届校友踊跃捐资助学,为学校教育发展贡献卓著。
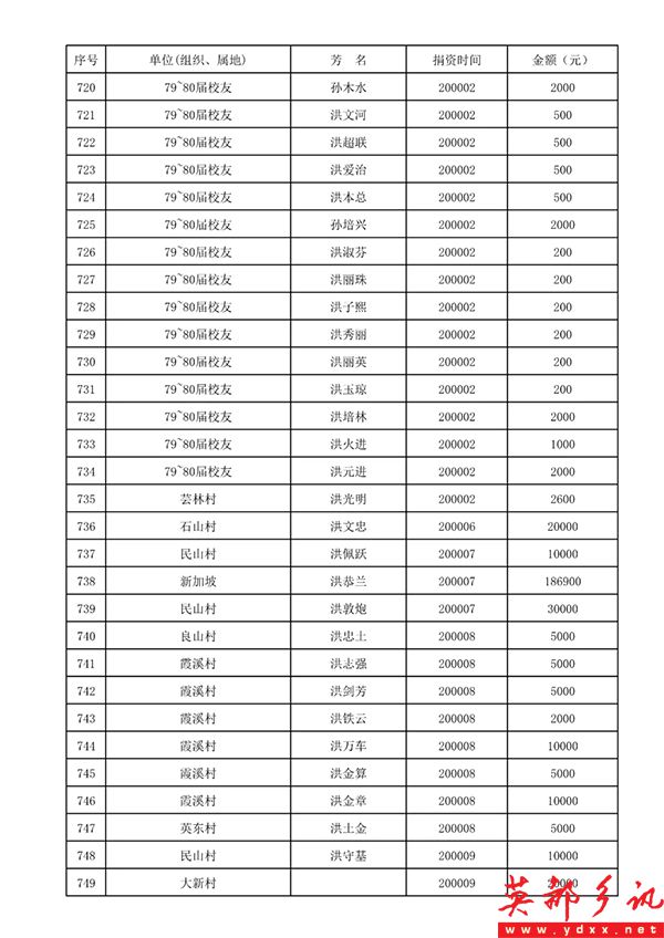
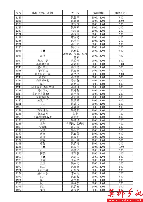
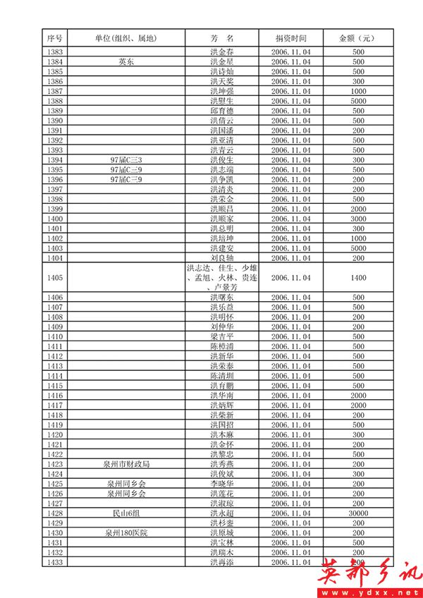
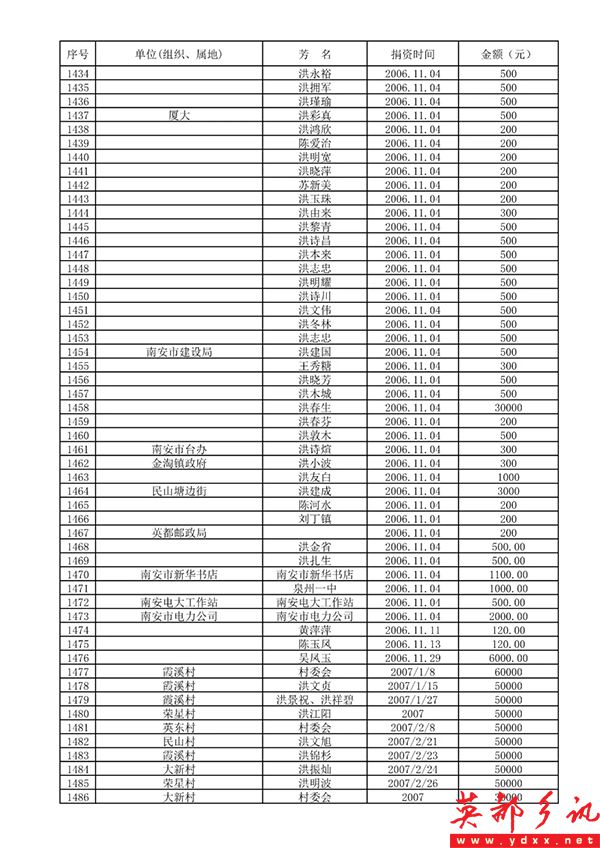
为弘扬崇文重教精神,现将历年来捐赠芳名重新修正后文稿公布褒彰。此芳名榜将勒石上墙,为表慎重,特公之于众。如有信息存在出入或信息不完整(如名字或金额有误,或欲添加备注等),敬请于2025年12月5日前联系学校及时更正或添加。
南安三中教育发展促进会捐赠芳名另榜公布。
联系人:洪锦丁 联系电话:13015831601
联系人:洪文辉 联系电话:13506020491
福建省南安市第三中学
2025年11月30日

















































为母校捐点钱,让你的母校为你骄傲!
为母校捐点钱,让你的家人为你自豪!
为母校捐点钱,让你的朋友为你点赞!
